Logic Masters Deutschland e.V.

Integral Sudoku

(Eingestellt Gestern, 02:22 Uhr von PrpLTrtL)

This puzzle requires an algebraic understanding of how to create and solve integrals. You have been warned.

Solve On SudokuPad

1. Normal Sudoku Rules Apply

2. The greater than symbol faces the higher digit

3. Digits across an x symbol add to ten. (i.e. 3x7 or 4x6)

4. The digits across each other on a circle are consecutive

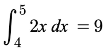
5. At least 3 of the grey vertical lines are “integral” lines, their rules are as follows:

- The number on top of the line is the upper limit of integration whilst the number on the bottom of the line is the lower limit of integration

- The number in the middle of the line is the coefficient of x. (As it appears right before the x in the grid)

- The answer to the integral will go in the cell two spots to the right of the middle of the line (to leave room for a dx and = of course, because it wouldn’t be proper without it)

- The x is always to the power of 1.

- It is up to the solver to determine which lines are "integral" lines. (There must be at least 3)

6. All lines that are not “integral” lines are renban lines. (Digits on the line must all be consecutive but in any order)

An example of how the integral line relates to a real life integral is shown below

Lösungscode: Row 9:

Zuletzt geändert Gestern, 07:10 Uhr

Gelöst von WedgeOfCheese, Wex_Wertly, kid, lrbhandanshi, 72kchunshuai, soyorin, amaoto, Thuna, War
Komplette Liste

Kommentare

Gestern, 20:46 Uhr von War
Fun puzzle, the actual logic flows quite nicely, and it's an interesting concept using the integrals. Now there are a lot of different combinations to run through, so I used AI to generate a list of possible integrals. Spoiler below, stop reading if you want to determine the integrals on your own.

-[4,1,2]=6
-[5,1,3]=8
-[4,2,3]=7
-[5,2,4]=9
-[2,6,1]=9

Gestern, 07:10 Uhr von PrpLTrtL
I’m changing it to not be five stars lol

Zuletzt geändert Gestern, 04:34 Uhr

Gestern, 04:33 Uhr von kid
Just list all the combinations

Schwierigkeit:4
Bewertung:N/A
Gelöst:9 mal
Beobachtet:0 mal
ID:000QI1

Mathematikkenntnisse

Lösung abgeben

Lösungscode:

Anmelden